Amélioration des propriétés des polymères recyclés par extrusion réactive
Question
Est-il est possible de modifier les propriétés rhéologiques des polymères afin d’améliorer leur mise en œuvre et leur mise en forme ?
Peut-on modifier l’indice de fluidité (MFI) des polymères de type polyoléfines ? Peut-on le faire par un procédé continu permettant de traiter des quantités industrielles et sans solvant ?
Expertise
MATERIA NOVA possède une expertise en mise en œuvre et mise en forme des polymères, notamment en extrusion réactive (REx).
Ce procédé ne nécessite pas de solvant, présente des temps de réaction courts (de l’ordre de la minute) et permet de travailler en continu avec de faibles coûts d’infrastructure.
L’extrudeuse est utilisée comme un réacteur continu et permet la réalisation simultanée de l’extrusion et de réactions chimiques telles que le greffage radicalaire.
Du polypropylène recyclé (R-PP) a été modifié chimiquement, par REx, de manière à adapter ses propriétés rhéologiques selon un cahier des charges spécifique défini par le client.
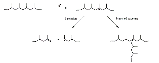
Le polypropylène, en particulier lorsqu’il est issu du recyclage, a tendance à se dégrader au cours de son procédé de mise en œuvre par un phénomène de coupure de chaînes appelé b-scission.

L’objectif est donc de limiter cette dégradation tout en favorisant le branchement des chaînes de polypropylène par l’ajout de co-agents afin de faciliter son procédé de transformation. Ceci est réalisable à l'aide d'une extrudeuse bi-vis co-rotative.

Après sa mise en œuvre, les propriétés rhéologiques du polymère sont modifiées :
- L'indice de fluidité (MFI) du polymère modifié est réduit de 65 % par rapport à sa valeur initiale.
Le matériau obtenu est donc plus visqueux.
- L’évolution du module de conservation (G’) montre, pour le polymère modifié,
l’apparition d’un plateau aux basses fréquences, caractéristique du branchement/réticulation
du polymère

- La viscosité complexe (eta*) du polymère modifié est supérieure de plusieurs décades
comparé à celle du polymère non modifié.

Solution
Les propriétés rhéologiques du PP recyclé sont améliorées par branchement de chaînes via un procédé continu d’extrusion réactive qui permet de traiter sans solvant de très grandes quantités de polymère.
La dégradation du polymère est réduite, augmentant ainsi sa viscosité, ce qui facilite les futures étapes de mise en œuvre du polymère de seconde génération.
